FILTER (LPF DAN HPF)
Bahan presentasi ini dibuat untuk memenuhi
tugas mata kuliah Elektronika kelas B
Dosen : Darwison, M.T
Oleh:
Novi Putri
1610952023
Jurusan Teknik Elektro
Fakultas Teknik
Universitas Andalas
Padang
2017
BAB VII
FILTER (LPF DAN HPF)
1. Pendahuluan
Filter adalah suatu
rangkaian yang dapat melewatkan sinyal input dengan lebar pita frekuensi
tertentu (Bandpass) dan melemahkan sinyal input pada lebar pita frekuensi
lainnya (Bandstop). Adapun respon ideal filter
ACL vs w seperti pada gambar 1.1.

Gambar 1.1 Grafik Respon Filter ACL vs w
2. Low Pass Filter (LPF)

Gambar
2.1 Grafik Respon LPF ACL vs
w
a. LPF -20 dB/dec
Gambar
2.2 Rangkaian LPF -20dB/dec
Besarnya nilai ACL terhadap nilai w
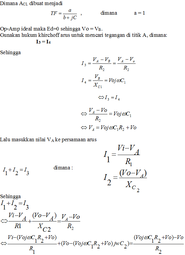
b. LPF -40 dB/dec
Gambar 2.3 Rangkaian LPF -40dB/dec
Besarnya ACL terhadap nilai w pada
LPF -40 dB/dec
Gambar 2.4 Rangkaian LPF -60dB/dec
3. High Pass Filter ( HPF )
Gambar 3.1 Grafik Respon HPF ACL vs
w
a. HPF +20 dB/dec
Gambar3.2 Rangkaian HPF +20dB/dec
b. HPF +40 dB/dec
Gambar 3.3 Rangkaian HPF +40dB/dec

Rangkaian HPF
+60dB/dec adalah gabungan rangkaian HPF
+40dB/dec dengan diseri HPF +20dB/dec
Gambar 3.4 Rangkaian HPF +60dB/dec
5. Rangkaian (Download Disini)
Referensi :
1. Boylestad,
R. and Nashelsky, L., 1999, “Electronic Devices and Circuit Theory”, Prentice Hall, New
Jersey.
2. Hayt,
W. H. and Neudeck, G. W., “Electronic
Circuit Analysis and Design”, Houghton Mifflin Company, Boston.
3. Coughlin,
R. F. and Driscoll F. F., 1985, “Operational
Amplifiers and Linear Integrated Circuits”, Prentice Hall, New Jersey.
4. Paynter,
R. T.,1997, ”Introductory Electronic
Devices and Circuits”, Prentice Hall, New Jersey.
5. Malvino, 1985, “
Aproksimasi Rangkaian Semikonduktor: Pangantar Transistor dan Rangkaian
Terpadu”, Penerbit Erlangga.
6. Mike Tooley, 2002, “
Rangkain Elektronika: Prinsip dan Aplikasi”, Penerbit Erlangga
7. Darwison, 2008, “Diktat Elektronika Analog”, Teknik Elektro – Unand, Padang.
8. Darwison, 2011, “Diktat Dasar Elektronika”, Teknik Elektro – Unand, Padang.
9. Darwison, 2011, “Panduan Praktikum Dasar Elektronika Digital”, Teknik Elektro
– Unand, Padang.












Komentar
Posting Komentar